Kemudian pada intinya isi surat persetujuan ahli waris tersebut memuat pernyataan persetujuan dari seluruh tiap ahli waris yang berhak. Dokumen lain yang di anggap perlu.

Contoh Pengisian Surat Keterangan Kuasa Ahli Waris Taspen Nusagates
Naibaho sebagaimana disebut dalam surat keterangan ahli waris.

Surat persetujuan ahli waris. Akta Lahir Ijazah Surat Nikah para ahli waris. Sidodadi kota Medan seluas 3000m2. Surat persetujuan ahli waris untuk jual beli warisan selain surat perjanjian pembagian harta warisan ada juga kasus dimana warisan tersebut tidak bisa.
Adalah benar ahli waris dari T. Pengantar RT Rukun Tangga. Adapun syarat untuk pembuatan surat Keterangan Ahli Waaris adalah sebagai berikut.
SURAT PERSETUJUAN AHLI WARIS. Identitas para ahli waris. Dengan ini saya menyatakan untuk menyetujui penjualan sebidang tanah yang terletak di Jl.
Demikian surat persetujuan ahli waris. Surat nikah Almarhrum Almarhumah.

Contoh Surat Ahli Waris Tunggal Contoh Surat
Surat Pernyataan Ahli Waris Pdf

Contoh Surat Pernyataan Ahli Waris Untuk Menjual Tanah Contoh Surat
![]()
Doc Surat Pernyataan Penjualan Rumah Waris Happy Happydevianasari Academia Edu
Contoh Surat Pernyataan Persetujuan Menjual Tanah Berbagi Contoh Surat

Pembagian Warisan Contoh Surat Ahli Waris Sebidang Tanah Nusagates

15 Contoh Surat Keterangan Ahli Waris Akta Waris Lengkap
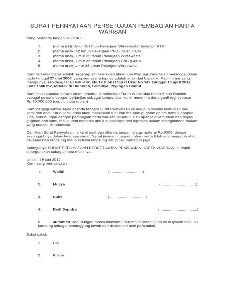
Surat Pernyataan Persetujuan Pembagian Harta Warisan Ahli Waris Alm

Contoh Surat Pernyataan Ahli Waris Untuk Menjual Tanah Cara Membuat Surat Keterangan Ahli Waris Beserta Contohnya Rumah123 Com Itulah Contoh Surat Pernyataan Kesanggunpan Yang Bisa Kamu Jadikan Acuan Untuk Membuat

Contoh Surat Kuasa Ahli Waris Bank Belajar Office
![]()
Doc Contoh Surat Pernyataan Ahli Waris Deef Kazt Academia Edu

Contoh Surat Pernyataan Persetujuan Pembagian Harta Warisan

Contoh Surat Perjanjian Jual Beli Tanah Di 2021 Surat Tulisan Penjualan

Ketentuan Surat Kuasa Ahli Waris Kumparan Com

Contoh Surat Kesepakatan Bersama Pembagian Harta Warisan Contoh Surat

Contoh Surat Keterangan Ahli Waris Doc

15 Contoh Surat Keterangan Ahli Waris Yang Resmi Dan Sah Surat Surat Kuasa Tanda Nama

Contoh Surat Ahli Waris Dan Bagaimana Cara Mengurus Yang Baik Dan Benar Http Contohsuratlamarankerjajakarta Blogspot Co Id 2018 03 Conto Surat Gambar Tulisan
